2024年2月5日,金沙城js9线路检测中心马高兴副教授在国际TOP期刊Food & Function(Q1,IF: 6.1)发表题为“Interactions between intestinal microbial fermentation products of Pleurotus eryngii polysaccharide with gut mucus”的研究性论文。
杏鲍菇多糖作为杏鲍菇主要的生理活性物质,在机体抗氧化、抗炎、免疫调节和降血糖血脂等方面具有显著效果。然而杏鲍菇多糖在发挥活性过程中需要穿过肠黏液层方可与上皮细胞接触,在此过程中其可能与肠黏液中的黏蛋白发生相互作用,从而改变杏鲍菇多糖的结构,引起其在结肠中生物活性的改变。
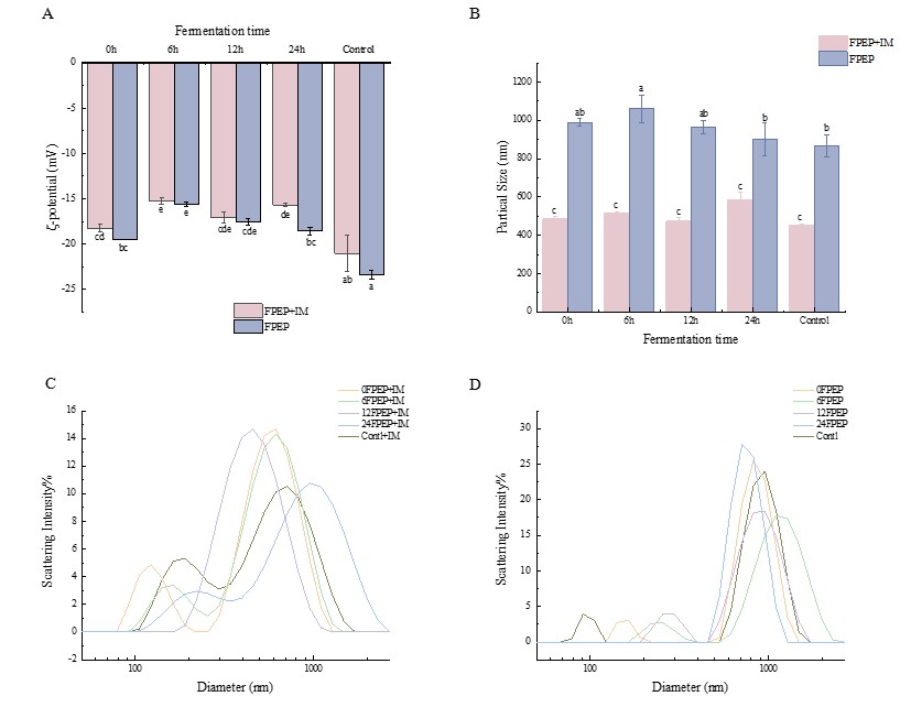
本研究利用体外发酵实验制备了杏鲍菇多糖的发酵产物,通过观察杏鲍菇多糖发酵产物与肠黏液相互作用形成的复合物的形态及微观结构,并且深入分析复合物分子内部结构的变化,解析杏鲍菇多糖在肠道中活性发挥的可能途经,为肠道消化吸收提供了新的研究视角。研究发现,杏鲍菇多糖发酵产物可以与肠黏液相互作用,并且肠道菌群发酵杏鲍菇多糖的时间可以改变两者相互作用特征。主要体现在,与未添加肠黏液的杏鲍菇多糖发酵产物相比,杏鲍菇多糖发酵产物与肠黏液复合物的粒度和ζ电位降低、体系荧光强度降低。同时,随着杏鲍菇多糖发酵产物与肠黏液相互作用时间的延长,复合物氢键作用亦发生逐渐增强。

研究亮点
本研究以杏鲍菇多糖肠道菌群酵解产物与肠黏液的相互作用为突破点,从杏鲍菇多糖在肠道中可能的运输途径角度揭示相关相互作用对杏鲍菇多糖结构的影响。具体而言,从相互作用后的微观物质形态、复合物分子间相互作用力和复合物官能团的变化分析两者互作特征及结构变化对解析杏鲍菇多糖功能活性的发挥作用机理方面所存在的科学问题而言提供新的见解。
研究结论
杏鲍菇多糖可以与肠黏液相互作用,互作后的体系分子颗粒明显降低,且更倾向于形成稳定分散的体系。同时,两者的相互作用特征受到肠道微生物发酵时间的影响,具体表现在发酵时间使复合物的稳定性改变和复合物中氢键增强等现象上。
图文赏析


图1:不同发酵多糖和肠黏液的Zeta电位(A)、平均粒径(B)和粒径分布(C、D)

图2:杏鲍菇多糖发酵产物与肠黏液相互作用复合物的微观形态

图3:杏鲍菇多糖发酵产物与肠黏液相互作用形成的复合物的荧光光谱(A);杏鲍菇多糖发酵产物的荧光光谱(B)

图4:杏鲍菇多糖发酵产物与肠黏液相互作用形成复合物的FTIR光谱(A)和二级结构含量的变化(B)
原文链接:https://doi.org/10.1039/D3FO04787C